FotobusAutobusų transportas

Nuotraukos informacija

337 KB


Nuotraukos identifikatorius:1028264
Bylos dydis:337 KB
Autorius:Excalibur
Publikuota:13.12.2013 10:07 MSK
Yra tinklapyje dienų:4499
Unikalių peržiūrų:265
Komentarų:0

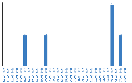
Peržiūrų dinamika pagal dienas