ФотобусАвтобусный транспорт

Информация об изображении

155 КБ


Идентификатор изображения:100545
Размер файла:155 КБ
Автор:ВАЗ 21053
Опубликовано:27.04.2009 22:40 MSK
Находится на сайте, дней:6113
Уникальных просмотров:491
Комментариев:0

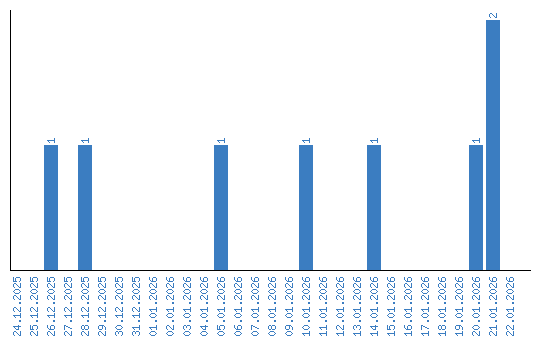
Динамика просмотров по датам