ФотобусАвтобусный транспорт

Информация об изображении

347 КБ


Идентификатор изображения:994038
Размер файла:347 КБ
Автор:Володя М
Опубликовано:14.10.2013 21:27 MSK
Находится на сайте, дней:4404
Уникальных просмотров:326
Комментариев:0

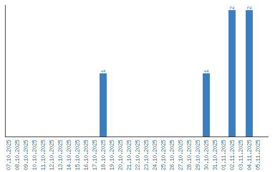
Динамика просмотров по датам