ФотобусАвтобусный транспорт

Информация об изображении

362 КБ


Идентификатор изображения:970693
Размер файла:362 КБ
Автор:ALX
Опубликовано:18.09.2013 00:28 MSK
Находится на сайте, дней:4433
Уникальных просмотров:173
Комментариев:0

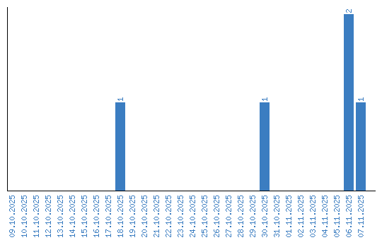
Динамика просмотров по датам