ФотобусАвтобусный транспорт

Информация об изображении

238 КБ


Идентификатор изображения:96310
Размер файла:238 КБ
Автор:Савин Роман
Опубликовано:18.04.2009 16:00 MSK
Находится на сайте, дней:6048
Уникальных просмотров:582
Комментариев:2

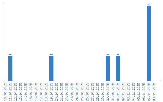
Динамика просмотров по датам