ФотобусАвтобусный транспорт

Информация об изображении

349 КБ


Идентификатор изображения:956922
Размер файла:349 КБ
Автор:Star2007
Опубликовано:30.08.2013 23:53 MSK
Находится на сайте, дней:4424
Уникальных просмотров:256
Комментариев:3

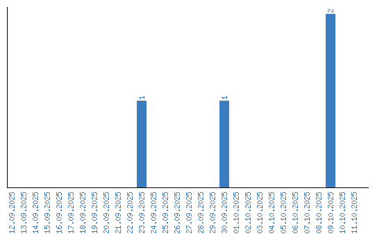
Динамика просмотров по датам