ФотобусАвтобусный транспорт

Информация об изображении

336 КБ


Идентификатор изображения:913148
Размер файла:336 КБ
Автор:A G
Опубликовано:28.06.2013 00:12 MSK
Находится на сайте, дней:4513
Уникальных просмотров:371
Комментариев:0

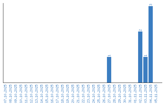
Динамика просмотров по датам