ФотобусАвтобусный транспорт

Информация об изображении

344 КБ


Идентификатор изображения:847119
Размер файла:344 КБ
Автор:Игорь Букатин
Опубликовано:13.03.2013 22:52 MSK
Находится на сайте, дней:4593
Уникальных просмотров:265
Комментариев:1

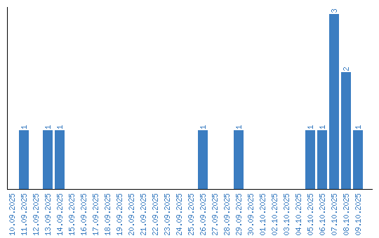
Динамика просмотров по датам