ФотобусАвтобусный транспорт

Информация об изображении

327 КБ


Идентификатор изображения:814450
Размер файла:327 КБ
Автор:Дим Гусаров
Опубликовано:20.01.2013 22:33 MSK
Находится на сайте, дней:4646
Уникальных просмотров:214
Комментариев:0

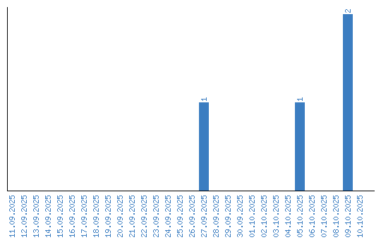
Динамика просмотров по датам