ФотобусАвтобусный транспорт

Информация об изображении

343 КБ


Идентификатор изображения:806596
Размер файла:343 КБ
Автор:Serginho
Опубликовано:06.01.2013 23:10 MSK
Находится на сайте, дней:4667
Уникальных просмотров:410
Комментариев:0

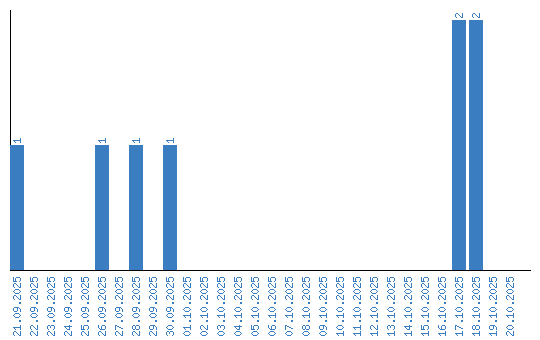
Динамика просмотров по датам