ФотобусАвтобусный транспорт

Информация об изображении

295 КБ


Идентификатор изображения:787664
Размер файла:295 КБ
Автор:Илья Плеханов
Опубликовано:27.11.2012 11:24 MSK
Находится на сайте, дней:4732
Уникальных просмотров:335
Комментариев:0

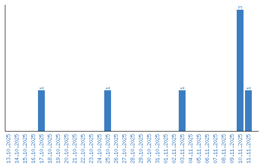
Динамика просмотров по датам