ФотобусАвтобусный транспорт

Информация об изображении

184 КБ


Идентификатор изображения:709667
Размер файла:184 КБ
Автор:Филипп Олегович
Опубликовано:30.07.2012 22:03 MSK
Находится на сайте, дней:4817
Уникальных просмотров:297
Комментариев:0

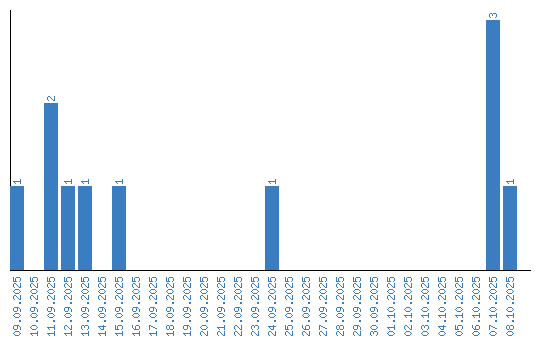
Динамика просмотров по датам