ФотобусАвтобусный транспорт

Информация об изображении

312 КБ


Идентификатор изображения:700750
Размер файла:312 КБ
Автор:Эгоист
Опубликовано:15.07.2012 19:51 MSK
Находится на сайте, дней:4833
Уникальных просмотров:174
Комментариев:0

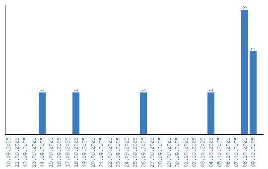
Динамика просмотров по датам