ФотобусАвтобусный транспорт

Информация об изображении

236 КБ


Идентификатор изображения:632576
Размер файла:236 КБ
Автор:Александров Николай
Опубликовано:29.03.2012 22:54 MSK
Находится на сайте, дней:4940
Уникальных просмотров:279
Комментариев:3

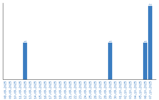
Динамика просмотров по датам