ФотобусАвтобусный транспорт

Информация об изображении

214 КБ


Идентификатор изображения:620114
Размер файла:214 КБ
Автор:Alex A.
Опубликовано:06.03.2012 23:39 MSK
Находится на сайте, дней:4963
Уникальных просмотров:300
Комментариев:2

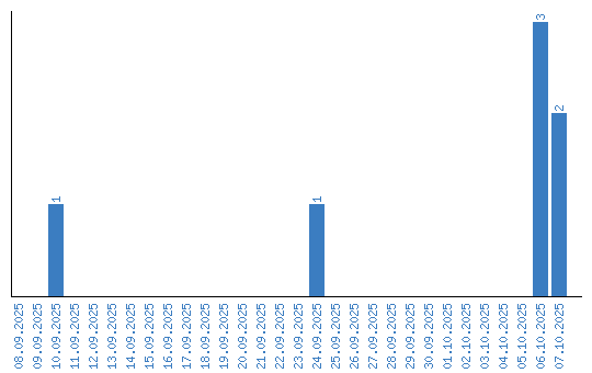
Динамика просмотров по датам