ФотобусАвтобусный транспорт

Информация об изображении

274 КБ


Идентификатор изображения:586421
Размер файла:274 КБ
Автор:Саша Данилов
Опубликовано:06.01.2012 14:08 MSK
Находится на сайте, дней:5063
Уникальных просмотров:258
Комментариев:0

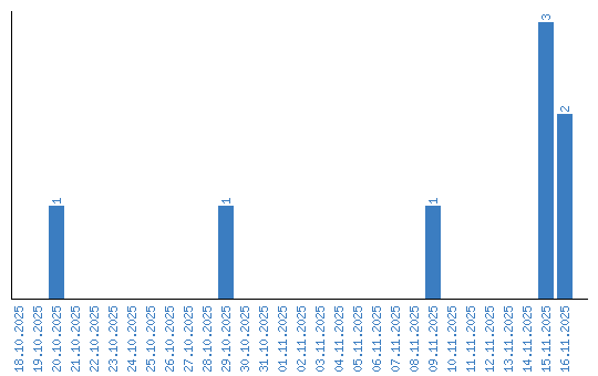
Динамика просмотров по датам