ФотобусАвтобусный транспорт

Информация об изображении

287 КБ


Идентификатор изображения:572629
Размер файла:287 КБ
Автор:Rai
Опубликовано:07.12.2011 23:00 MSK
Находится на сайте, дней:5055
Уникальных просмотров:228
Комментариев:0

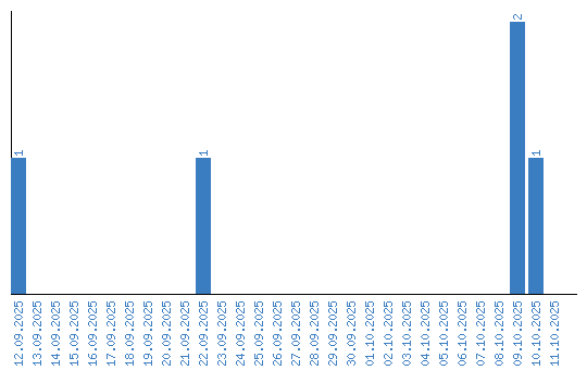
Динамика просмотров по датам