ФотобусАвтобусный транспорт

Информация об изображении

159 КБ


Идентификатор изображения:540010
Размер файла:159 КБ
Автор:Саша Данилов
Опубликовано:08.10.2011 20:50 MSK
Находится на сайте, дней:5124
Уникальных просмотров:656
Комментариев:5

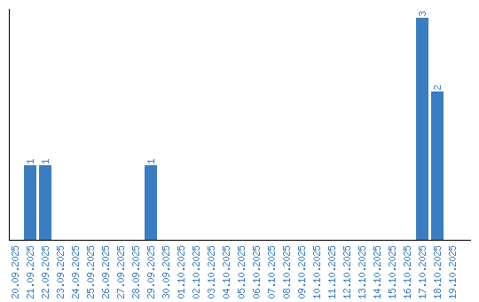
Динамика просмотров по датам