ФотобусАвтобусный транспорт

Информация об изображении

246 КБ


Идентификатор изображения:485871
Размер файла:246 КБ
Автор:James Hook
Опубликовано:04.07.2011 13:06 MSK
Находится на сайте, дней:5253
Уникальных просмотров:293
Комментариев:0

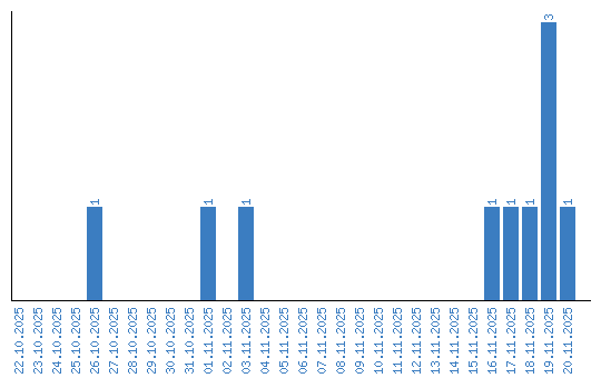
Динамика просмотров по датам