FotobusAutobusų transportas

Nuotraukos informacija

135 KB


Nuotraukos identifikatorius:460513
Bylos dydis:135 KB
Autorius:Kimster
Publikuota:24.05.2011 21:54 MSK
Yra tinklapyje dienų:5322
Unikalių peržiūrų:383
Komentarų:0

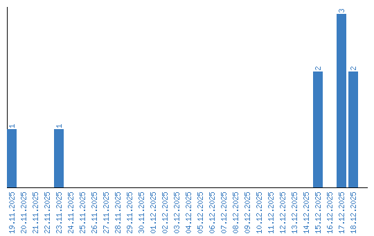
Peržiūrų dinamika pagal dienas