ФотобусАвтобусный транспорт

Информация об изображении

250 КБ


Идентификатор изображения:40541
Размер файла:250 КБ
Автор:DM
Опубликовано:28.08.2008 23:59 MSK
Находится на сайте, дней:6271
Уникальных просмотров:744
Комментариев:4

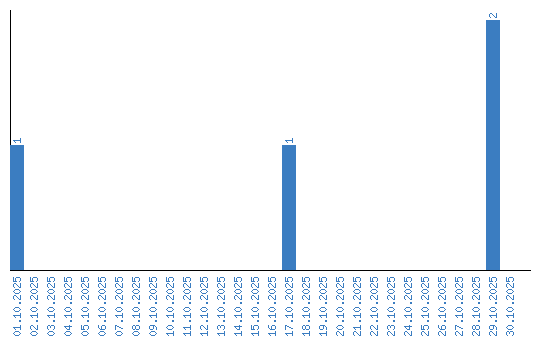
Динамика просмотров по датам