ФотобусАвтобусный транспорт

Информация об изображении

442 КБ


Идентификатор изображения:3637577
Размер файла:442 КБ
Автор:Pai45065
Опубликовано:04.08.2025 19:03 MSK
Находится на сайте, дней:88
Уникальных просмотров:78
Комментариев:0

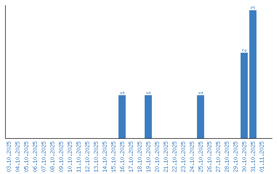
Динамика просмотров по датам