ФотобусАвтобусный транспорт

Информация об изображении

567 КБ


Идентификатор изображения:3628215
Размер файла:567 КБ
Автор:Александр Стаканов
Опубликовано:26.07.2025 16:38 MSK
Находится на сайте, дней:116
Уникальных просмотров:152
Комментариев:0

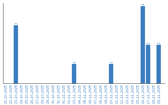
Динамика просмотров по датам