ФотобусАвтобусный транспорт

Информация об изображении

533 КБ


Идентификатор изображения:3523721
Размер файла:533 КБ
Автор:ariss_ka
Опубликовано:11.03.2025 16:49 MSK
Находится на сайте, дней:264
Уникальных просмотров:234
Комментариев:0

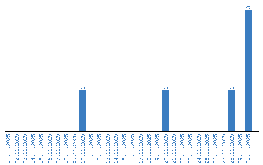
Динамика просмотров по датам