ФотобусАвтобусный транспорт

Информация об изображении

237 КБ


Идентификатор изображения:347189
Размер файла:237 КБ
Автор:Эгоист
Опубликовано:17.10.2010 19:30 MSK
Находится на сайте, дней:5472
Уникальных просмотров:192
Комментариев:0

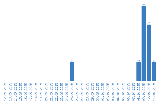
Динамика просмотров по датам