ФотобусАвтобусный транспорт

Информация об изображении

7450 КБ


Идентификатор изображения:3470022
Размер файла:7450 КБ
Автор:mgt_190864
Опубликовано:26.12.2024 22:12 MSK
Находится на сайте, дней:328
Уникальных просмотров:447
Комментариев:0

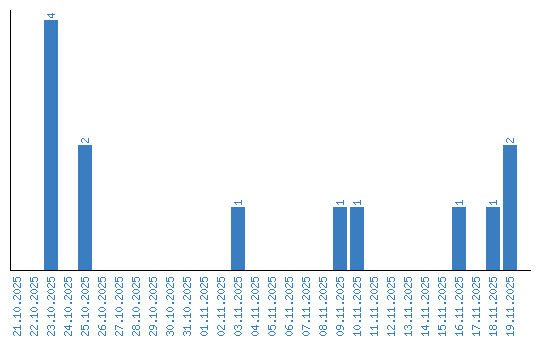
Динамика просмотров по датам