ФотобусАвтобусный транспорт

Информация об изображении

489 КБ


Идентификатор изображения:3409079
Размер файла:489 КБ
Автор:транспортник54
Опубликовано:02.10.2024 14:36 MSK
Находится на сайте, дней:370
Уникальных просмотров:246
Комментариев:0

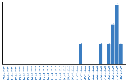
Динамика просмотров по датам