ФотобусАвтобусный транспорт

Информация об изображении

296 КБ


Идентификатор изображения:3406472
Размер файла:296 КБ
Автор:dielektrik
Опубликовано:28.09.2024 20:52 MSK
Находится на сайте, дней:417
Уникальных просмотров:191
Комментариев:0

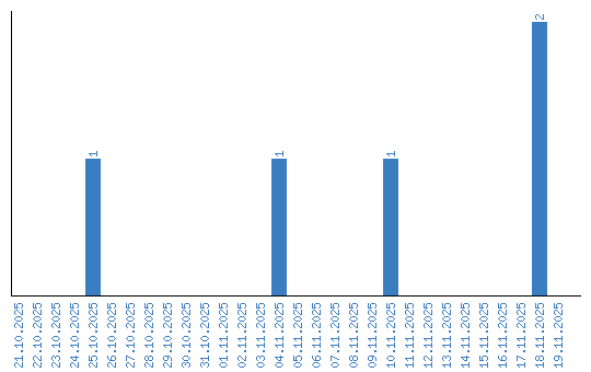
Динамика просмотров по датам