ФотобусАвтобусный транспорт

Информация об изображении

978 КБ


Идентификатор изображения:3383971
Размер файла:978 КБ
Автор:YouNG_TyleR
Опубликовано:29.08.2024 17:23 MSK
Находится на сайте, дней:460
Уникальных просмотров:123
Комментариев:0

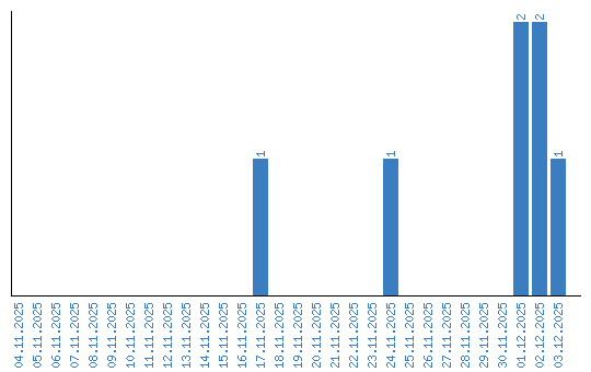
Динамика просмотров по датам