ФотобусАвтобусный транспорт

Информация об изображении

650 КБ


Идентификатор изображения:3363967
Размер файла:650 КБ
Автор:NP
Опубликовано:03.08.2024 00:24 MSK
Находится на сайте, дней:431
Уникальных просмотров:140
Комментариев:0

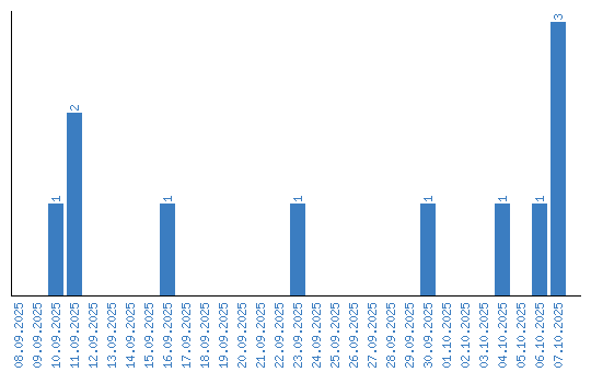
Динамика просмотров по датам