ФотобусАвтобусный транспорт

Информация об изображении

453 КБ


Идентификатор изображения:3362240
Размер файла:453 КБ
Автор:mixkol
Опубликовано:31.07.2024 06:18 MSK
Находится на сайте, дней:433
Уникальных просмотров:197
Комментариев:0

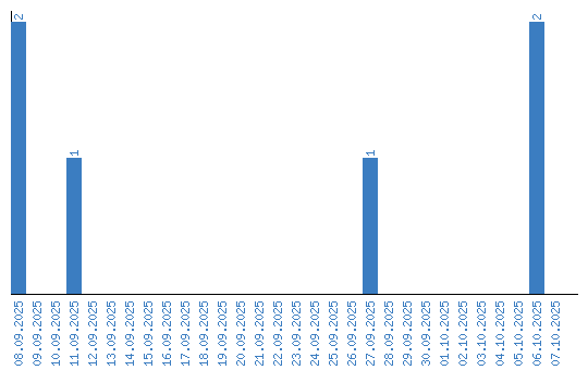
Динамика просмотров по датам