ФотобусАвтобусный транспорт

Информация об изображении

622 КБ


Идентификатор изображения:3357461
Размер файла:622 КБ
Автор:Андрей Раздорских
Опубликовано:25.07.2024 21:26 MSK
Находится на сайте, дней:467
Уникальных просмотров:308
Комментариев:1

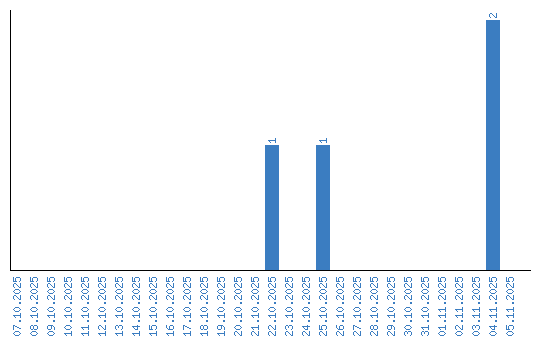
Динамика просмотров по датам