ФотобусАвтобусный транспорт

Информация об изображении

408 КБ


Идентификатор изображения:3349362
Размер файла:408 КБ
Автор:Сергей Nemtsev
Опубликовано:16.07.2024 21:50 MSK
Находится на сайте, дней:476
Уникальных просмотров:226
Комментариев:0

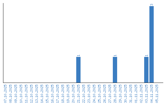
Динамика просмотров по датам