ФотобусАвтобусный транспорт

Информация об изображении

692 КБ


Идентификатор изображения:3310308
Размер файла:692 КБ
Автор:Andrey Kaban
Опубликовано:27.05.2024 08:35 MSK
Находится на сайте, дней:565
Уникальных просмотров:271
Комментариев:0

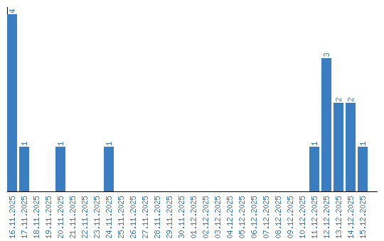
Динамика просмотров по датам