ФотобусАвтобусный транспорт

Информация об изображении

316 КБ


Идентификатор изображения:3266882
Размер файла:316 КБ
Автор:dielektrik
Опубликовано:30.03.2024 20:01 MSK
Находится на сайте, дней:558
Уникальных просмотров:147
Комментариев:0

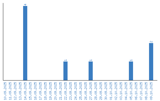
Динамика просмотров по датам