ФотобусАвтобусный транспорт

Информация об изображении

426 КБ


Идентификатор изображения:3212453
Размер файла:426 КБ
Автор:@ra_64051
Опубликовано:04.01.2024 21:08 MSK
Находится на сайте, дней:670
Уникальных просмотров:417
Комментариев:0

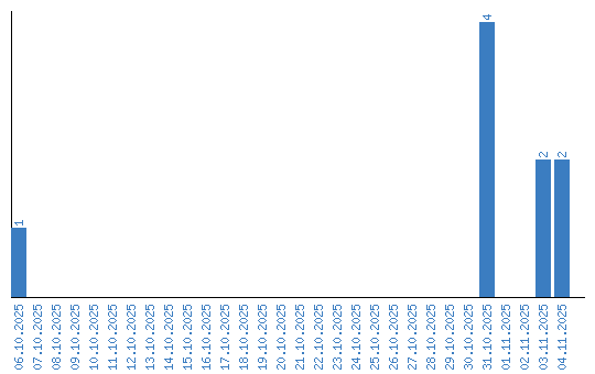
Динамика просмотров по датам