ФотобусАвтобусный транспорт

Информация об изображении

1086 КБ


Идентификатор изображения:3168522
Размер файла:1086 КБ
Автор:JenCh012
Опубликовано:16.10.2023 13:16 MSK
Находится на сайте, дней:753
Уникальных просмотров:264
Комментариев:0

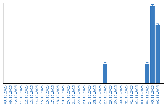
Динамика просмотров по датам