ФотобусАвтобусный транспорт

Информация об изображении

611 КБ


Идентификатор изображения:3140446
Размер файла:611 КБ
Автор:Артем Инферно
Опубликовано:11.09.2023 16:12 MSK
Находится на сайте, дней:760
Уникальных просмотров:222
Комментариев:0

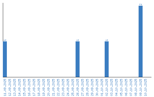
Динамика просмотров по датам