ФотобусАвтобусный транспорт

Информация об изображении

192 КБ


Идентификатор изображения:307923
Размер файла:192 КБ
Автор:Олег Н.
Опубликовано:05.08.2010 12:21 MSK
Находится на сайте, дней:5546
Уникальных просмотров:369
Комментариев:1

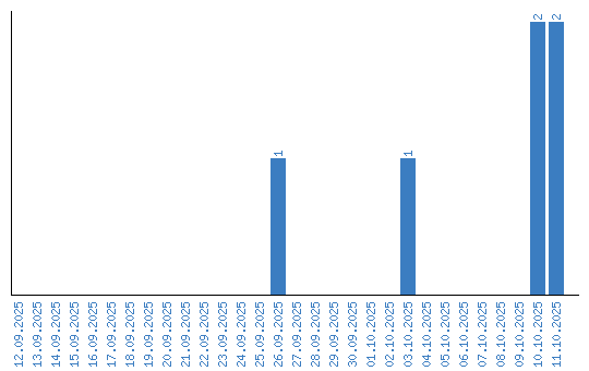
Динамика просмотров по датам