ФотобусАвтобусный транспорт

Информация об изображении

620 КБ


Идентификатор изображения:3060152
Размер файла:620 КБ
Автор:Ян Мухтаров
Опубликовано:14.05.2023 04:36 MSK
Находится на сайте, дней:872
Уникальных просмотров:388
Комментариев:0

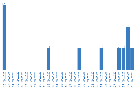
Динамика просмотров по датам