ФотобусАвтобусный транспорт

Информация об изображении

415 КБ


Идентификатор изображения:3049625
Размер файла:415 КБ
Автор:intacto61
Опубликовано:27.04.2023 16:46 MSK
Находится на сайте, дней:928
Уникальных просмотров:268
Комментариев:0

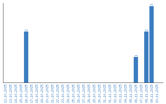
Динамика просмотров по датам