ФотобусАвтобусный транспорт

Информация об изображении

597 КБ


Идентификатор изображения:3042765
Размер файла:597 КБ
Автор:Доктор Дизель
Опубликовано:16.04.2023 22:39 MSK
Находится на сайте, дней:905
Уникальных просмотров:437
Комментариев:0

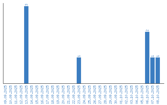
Динамика просмотров по датам