ФотобусАвтобусный транспорт

Информация об изображении

727 КБ


Идентификатор изображения:3029740
Размер файла:727 КБ
Автор:Ilyaqurix
Опубликовано:25.03.2023 22:37 MSK
Находится на сайте, дней:960
Уникальных просмотров:349
Комментариев:0

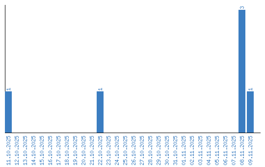
Динамика просмотров по датам