ФотобусАвтобусный транспорт

Информация об изображении

470 КБ


Идентификатор изображения:2958299
Размер файла:470 КБ
Автор:Владислав-212
Опубликовано:22.10.2022 21:17 MSK
Находится на сайте, дней:1084
Уникальных просмотров:131
Комментариев:0

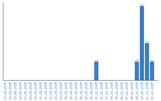
Динамика просмотров по датам