ФотобусАвтобусный транспорт

Информация об изображении

529 КБ


Идентификатор изображения:2938445
Размер файла:529 КБ
Автор:Владислав-212
Опубликовано:12.09.2022 16:52 MSK
Находится на сайте, дней:1123
Уникальных просмотров:150
Комментариев:0

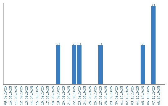
Динамика просмотров по датам