ФотобусАвтобусный транспорт

Информация об изображении

319 КБ


Идентификатор изображения:2928738
Размер файла:319 КБ
Автор:BOSS
Опубликовано:25.08.2022 07:23 MSK
Находится на сайте, дней:1168
Уникальных просмотров:226
Комментариев:0

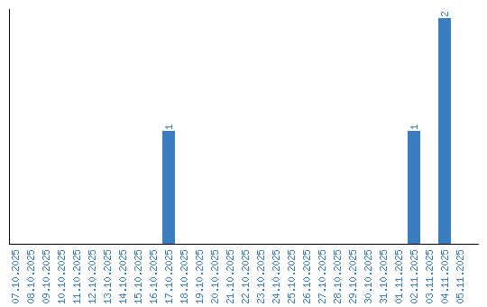
Динамика просмотров по датам