ФотобусАвтобусный транспорт

Информация об изображении

433 КБ


Идентификатор изображения:2912486
Размер файла:433 КБ
Автор:Cедой
Опубликовано:29.07.2022 14:28 MSK
Находится на сайте, дней:1161
Уникальных просмотров:287
Комментариев:0

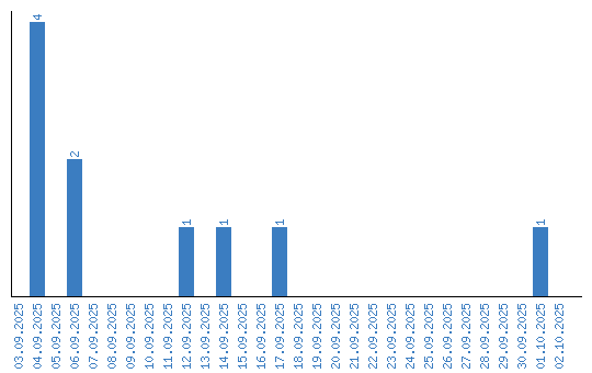
Динамика просмотров по датам