ФотобусАвтобусный транспорт

Информация об изображении

275 КБ


Идентификатор изображения:2836946
Размер файла:275 КБ
Автор:olegp
Опубликовано:30.03.2022 11:36 MSK
Находится на сайте, дней:1322
Уникальных просмотров:316
Комментариев:0

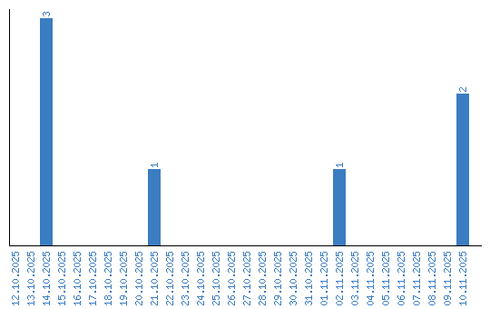
Динамика просмотров по датам