ФотобусАвтобусный транспорт

Информация об изображении

345 КБ


Идентификатор изображения:2754158
Размер файла:345 КБ
Автор:Monbus
Опубликовано:04.11.2021 23:02 MSK
Находится на сайте, дней:1476
Уникальных просмотров:141
Комментариев:0

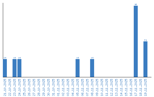
Динамика просмотров по датам