ФотобусАвтобусный транспорт

Информация об изображении

304 КБ


Идентификатор изображения:2718579
Размер файла:304 КБ
Автор:BOSS
Опубликовано:14.09.2021 15:44 MSK
Находится на сайте, дней:1487
Уникальных просмотров:224
Комментариев:0

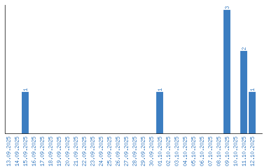
Динамика просмотров по датам